ノンテクニカルサマリー

生産性測定におけるオフショアリング・バイアス:日本の輸出入申告データに基づくエビデンス

執筆者 深尾 京司(理事長)/堀江 哲史(日本大学)/乾 友彦(ファカルティフェロー)/川窪 悦章(研究員(特任))/金 榮愨(専修大学)/権 赫旭(ファカルティフェロー)/張 紅詠(上席研究員)
ダウンロード/関連リンク

このノンテクニカルサマリーは、分析結果を踏まえつつ、政策的含意を中心に大胆に記述したもので、DP・PDPの一部分ではありません。分析内容の詳細はDP・PDP本文をお読みください。また、ここに述べられている見解は執筆者個人の責任で発表するものであり、所属する組織および(独)経済産業研究所としての見解を示すものではありません。

その他特別な研究成果(所属プロジェクトなし)

1. 研究の背景と目的

1990年代以降、グローバル化の進展とともに国際生産のフラグメンテーションが急速に進み、多くの企業が生産工程の一部を海外へ移転するオフショアリングを行うようになった。日本の製造業では、2021年時点で中間財輸入比率が約30%に達し、企業活動における輸入依存が高まっている。このようなグローバルバリューチェーン(GVC)の深化は、企業レベルの生産性や競争力に重要な影響を及ぼすと考えられてきた。

しかし、従来の生産性推計(特に全要素生産性:TFP)の多くは、産業全体の平均的なデフレーターを用いて中間財投入を実質化しており、企業ごとの投入価格の違いを十分に反映していない。その結果、安価な中間財を輸入する企業では、投入価格の下落が生産性の上昇として誤って計測される可能性がある。この推計上の誤差を「オフショアリング・バイアス(offshoring bias)」と呼ぶ。本研究の目的は、日本の詳細な輸出入申告データを用いて、このバイアスの大きさを定量的に把握することである。

2. データと手法

分析には、①財務省輸出入申告データと、②経済産業省企業活動基本調査を結合した企業レベルのパネルデータを用いた。輸出入申告データはHS9桁レベルで輸入品目を特定でき、企業ごとの取引金額・数量・関税額などが記録されている。対象期間は2015~2020年度で、期間中継続して輸入活動を行う製造業企業を抽出した。

まず、各企業の中間投入物価格を実質化するために、二種類のデフレーターを構築した。標準デフレーター(JIPデータベース):産業別の中間投入物価格指数(100産業分類ベース)。企業別輸入デフレーター:輸出入申告データに基づき、HS9桁レベルで企業ごとの輸入価格変動を反映させた新しい価格指数。

次に、それぞれのデフレーターを用いて企業レベルのTFPを推計した。推計には、①Wooldridge(2009)のGMM (generalized method of moments)推計法、および②Good, Nadiri, and Sickles(1999)のインデックス法を用いた。標準デフレーターを用いたTFPと企業別輸入デフレーターを用いたTFPの推計結果から得られるTFP成長率の差を「オフショアリング・バイアス」と定義した。

3. 主な結果

分析の結果、輸入比率が高い企業ほどオフショアリング・バイアスが大きいことが明らかになった。すなわち、標準的な産業別デフレーターを用いる場合、輸入比率の高い企業の生産性は実際よりも高く推計される傾向がある。これは、企業が海外から安価な中間財を調達した際、価格下落を実質的な効率向上と誤認してしまうためである。

一方、海外子会社からの輸入比率が高い企業では、バイアスが小さいことが確認された。これは、企業グループ内取引では価格が安定しており、名目価格の変化が小さいためと解釈される。また、分析期間を2015–2019年度・2016–2020年度に変更しても同様の結果が得られ、頑健性が確認された。

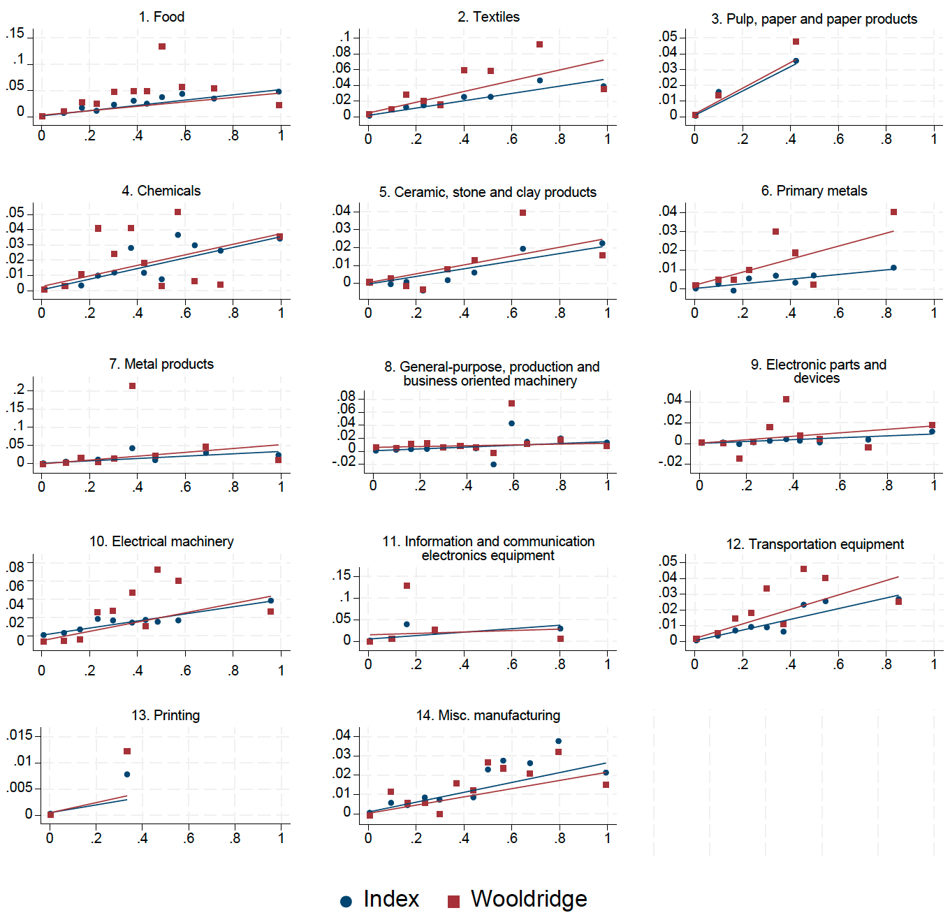
さらに、業種別にみると、電子機器、機械、輸送用機器など、輸入依存度が高い産業ほどオフショアリング・バイアスの値が大きく、産業構造の違いが生産性統計に与える影響の大きさが示された(図1)。

図1. オフショアリング・バイアスと輸入比率
[ 図を拡大 ]
図1. オフショアリング・バイアスと輸入比率
注:この図は輸入企業を対象としたビンスキャッタープロットを示している。縦軸はオフショアリング・バイアスを、横軸は2015年度時点の中間投入に占める輸入の割合を表している。各ビンは、財務省輸出入申告データ利用ガイドラインを満たすため、少なくとも10社の企業グループを表している。直線は、オフショアリング・バイアスを被説明変数、輸入比率を唯一の説明変数とする単回帰を、ビン分けを行わない全サンプルを用いて推定した回帰直線である。青の線およびビンはインデックス法に基づくオフショアリング・バイアスを示し、赤の線およびビンはWooldridge(2009)の方法に基づくオフショアリング・バイアスを示している。産業分類はSNA(国民経済計算体系)の分類に従っている。

4. 結論と含意

本研究は、これまで産業レベルでのみ議論されてきたオフショアリング・バイアスを、企業レベルの通関データ(財務省輸出入申告データ)を用いて初めて定量的に明らかにした点に主要な貢献がある。分析の結果、企業が中間財輸入を拡大するほど、生産性(TFP)が過大に評価される傾向が確認され、従来の生産性統計には構造的な上方バイアスが存在することが示された。このことは、標準的な産業別デフレーターでは企業ごとの輸入価格変動を十分に反映できず、安価な中間財の輸入による価格下落が実質的な生産性上昇として誤って計測されることを意味している。

本研究の結果は、従来の生産性指標をそのまま政策評価や国際比較に用いることの危険性を明確に示している。特に、次の三つの分野において重要な含意を持つ。

  1. (1)GVC下での企業パフォーマンス比較:輸入依存度の高い企業は見かけ上生産性が高く見える可能性があり、企業間比較には価格要因の調整が不可欠である。
  2. (2)国際的な生産性比較の分析:各国の企業が異なる輸入構造を持つ場合、単純なTFP比較では実際の生産効率を誤認する恐れがある。
  3. (3)産業政策・貿易政策の効果評価:見かけ上の生産性上昇が実際には投入価格の下落によるものであれば、政策効果の評価を過大に見積もるリスクがある。

政策判断の誤りを防ぐためには、企業別・品目別の投入価格データを考慮した新しい実証手法の導入が不可欠である。オフショアリングの拡大は確かに企業の効率性向上を促す側面を持つが、同時に統計的な測定誤差を通じて生産性を過大評価するリスクを内包している。本研究は、こうしたリスクを定量的に示し、今後の生産性研究におけるマイクロデータ活用と価格情報精緻化の重要性を明確に提示した。

参考文献
  • Wooldridge, M., Jeffrey (2009) “On Estimating Firm-Level Production Functions Using Proxy Variables to Control for Unobservables,” Economics Letters, 104(3): 112–114.
  • Good, David H., M. Ishaq Nadiri, and Robin C. Sickles (1999) “Index Number and Factor Demand Approaches to the Estimation of Productivity,” Handbook of Applied Econometrics: Vol. II-Microeconometrics, Malden, MA: Blackwell Publishers.