Introduction
It is widely argued that seismic activities have intensified in Japan since the Great Hanshin earthquake (the Kobe earthquake) in 1995. And amongst the subsequent major earthquakes, the 2011 Tohoku earthquake and tsunami (the Great East Japan earthquake) caused by far the severest damages and losses. Also, storms such as typhoons or floods are both increasingly inflicting heavy economic losses in recent years.
Against this backdrop the Japanese government drew up the ‘Action Plan for National Resilience in 2014’. The Japanese government is currently placing a focus on the Nankai megathrust earthquakes, which historically occur every 100-150 years as a series of three major earthquakes. The government's advisory panel's latest estimates are massive: possible casualties of up to about 300,000 and economic losses of up to 292 trillion yen (Note 1). The immediate reaction to this gloomy estimate would be to intensify the efforts to prepare to reduce the losses and/or to mitigate the impacts.
Variations across Disaster Types
However, major disasters have been hitting regions even if they had not been regarded as particularly risky. For instance, Kumamoto on the southern island of Kyushu was hit by two major earthquakes in short succession in April 2016, and Noto region by an earthquake in January 2024, and both regions were not identified as high-earthquake-risk regions beforehand. Also, it is safe to say that the recent COVID-2019 pandemic was widely unanticipated. What these examples are indicating is that some disasters are very difficult to predict or even just to anticipate, and risk assessment may well not be very precise.
The level of difficulty in assessing risks may vary across different types and/or sizes of disasters. For example, earthquakes may be difficult to predict when and where and how vigorously hit specific regions. By contrast, floods are probably easier to predict where they may hit. The difference in the level of difficulty in assessing risks, in turn, may well have significant impacts on the way how to prepare against and on the level of resilience to each disaster type.
RIETI Project on SME Resilience
While much attention has been paid to behaviours on the measures against disasters that require actions prior to experiencing disasters such as disaster insurance subscription or the share of businesses with a business continuity plan (BCP), little attention has been paid to the effectiveness of measures ex post (Note 2).
Aiming at filling this gap, the RIETI project, ‘SME resilience to disasters: An empirical investigation’, is under way to examine the effectiveness of measures such as BCPs, disaster insurance (property insurance and business interruption insurance), commercial/public loans, public subsidies in Japan, by paying particular attention to the possible differences across different types of disasters in terms of the level of difficulty in assessing the risks ex ante.
The RIETI project conducted a questionnaire survey, ‘the RIETI survey on disaster countermeasures for SMEs’, targeting 15,000 SMEs in select prefectures (those hit by at least one ‘Gekijin’ (severe) disaster in the past 15 years) and secured 3,518 responses (response rate of 23.5 percent) (Note 3). Table 1 summarises the distributions of disaster types over time, and Table 2 reports the distributions of severe/non-severe disasters over time.
Figure 1 reports the empirical cumulative probability distributions of subjective evaluations for various types of disasters. It is clear that insurance for storms is most highly regarded and earthquake insurance is the lowest regarded. This may well be reflecting the fact that earthquake and flood coverages are optional for standard insurance policies while storm coverage is included in standard policies (Note 4). Although we do not present figures here, we find that insurance is regarded to be more effective against non-‘Gekijin’ (non-severe) disasters.
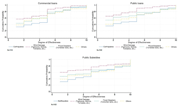
By contrast, Figure 2 indicates that the exact opposite pattern for commercial/public loans and public emergency aids: They are most effective against earthquakes and least effective against storms.

[Click to enlarge]
The findings point us to making a distinction between complete and incomplete contracts is crucial in understanding the mechanism (Note 5). That is, insurance policies specify the conditions on the payments of insurance since they are contingent contracts prior to incurring losses from disasters. By contrast, commercial/public loans or subsidies, including emergency aids are effectively functioning as incomplete contracts, which do not specify the conditions prior to disasters, but would be arranged upon incurring losses from disasters.

[Click to enlarge]
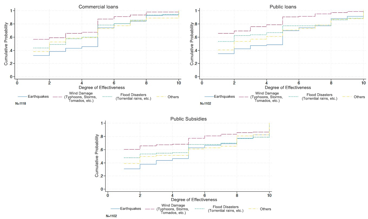
Turning our attention to the effectiveness of measures in restricting disruptions of operations, Figure 3 shows that BCPs and earthquake insurance are both effective. By contrast, flood insurance appears to have adverse effects, which likely indicates the existence of adverse selection, i.e. businesses more prone to floods are more likely to subscribe to flood insurance.
Conclusions
What we have seen so far indicates that the level of difficulty in assessing the risks varies substantially across different types of disasters, which affects the subjective views on the effectiveness of various measures against different disasters. In particular, insurance is regarded most effective against storms, and is least effective against earthquakes, possibly because of the low subscription rate of the latter, caused by the difficulty in assessing the earthquake risks.
Attempts to utilise the market mechanism to share risks have continuously been made --- in particular, through the capital markets and/or insurance policies. However, the very nature of market instruments or insurance policies as complete contracts appears to be a serious disadvantage as a means to shift risks that are hard to assess ex ante, because they require accurate assessments of risks so that conditions may be specified in details ex ante.
To improve our understanding of the aspects necessary for a socially desirable policy in enhancing resilience to disasters, it seems to be important to further the studies on the incentive mechanisms from the viewpoint of contract theory.
November 19, 2025
>> Original text in Japanese